提升幸福力——理论篇
积极心理学SPIRE幸福模型
介绍:SPIRE幸福模型是由哈佛大学积极心理学家泰勒·本-沙哈尔(Tal Ben-Shahar)提出的。
SPIRE幸福模型主张,全面的幸福感不能仅依赖于单一维度,而是需要在精神、身体、心智、关系和情绪五个方面均衡发展和相互支持。
- Spiritual 精神: 精神幸福关注的是个体对生命意义、目的、价值观和精神层面的连结的追求。它涉及到寻找个人生活哲学、信仰体系、道德准则以及与超越个人的存在或宇宙的整体性之间的联系。
- Physical 身体: 身体幸福强调身体健康对整体幸福感的重要性。这包括保持适当的营养、定期进行体育锻炼、确保充足的睡眠、避免有害物质以及预防和管理疾病。
- Intellectual 心智: 心智幸福关乎个体的知识获取、思维能力的发展、好奇心的保持以及持续学习的态度。提升心智幸福可能涉及读书、学习新技能、参与学术研究、进行创造性思考、解决复杂问题,以及培养批判性思维和开放心态。
- Relational 关系: 关系幸福指的是个体在人际交往中所体验到的满足感,包括与家人、朋友、伴侣、同事及社区成员之间的深厚、互惠和支持性的联系。建立和维护健康的社交网络、有效沟通、表达和接受爱、解决冲突、给予和接受支持,都是提升关系幸福的重要方面。
- Emotional 情绪: 情绪幸福关注个体对自身情绪的觉察、理解和管理,以及积极情绪体验的频率和强度。这包括学习识别和表达各种情绪、培养情绪智慧、实施有效的应对策略、培养感恩之心、进行情绪调节练习,以及提升乐观主义和积极心态。
原文链接:《创造幸福,从此刻开始 | 积极心理学的SPIRE幸福模型》
积极心理PERMA模型
马丁•塞利格曼(也被誉为“积极心理学之父”)
PERMA模型是五个词组的缩写,分别指的是:
- P=positive emotion 积极情绪
- E=engagement 投入
- R=relationship 人际关系
- M=meaning 意义
- A=accomplishment 成就
如何依据PERMA模型实现持续的幸福
- 体验积极情绪,有意识的捕捉“积极时刻”。
- 尝试全情投入,进入心流的状态。
- 不要封闭自己,感受人际关系的温度。
- 探寻人生的意义,找到自我方向。
- 挖掘自我潜能,实现个人成就。
原文链接:《如何能获得持续的幸福?》
自我接纳与幸福感
自我接纳,是指个体对自我及其一切特征采取一种积极的态度,自我接纳包括接受自我和他人以及自己所处的现实环境,理解自己处境,不带着审判的目光去批评自己,也不因为自己获得成就而自鸣得意,全然接受当下的自己,并且善待自己。同时,自我接纳是达到自尊的基础条件,而自尊水平的提升有利于个人幸福感的而获得。自我接纳是个体心理健康的一项重要标准。
对自我接纳的概念定义主要包含两个层面:
- 看到自身优势却不因此自满:能确认和悦纳自己身体、能力和性格等方面的正面价值,不因自身的优点、特长和成绩而骄傲。
- 看到自身短板却不因此自卑:是能欣然正视和接受自己现实的一切,不因存在的某种缺点、失误而自卑。
幸福感
对主观幸福感这一概念的基本特征主要由三个层面组成
- 主观性:以当事者自我内定的标准而非他人外定标准来评估自己。
- 稳定性:其为一个稳定持续的状态,主要测量长期而非短期情感反应和生活满意度。
- 整体性:主观幸福感是个体对自己综合性评价,包括对情感反应的评估和认知判断。
自我接纳与幸福感关系的科学研究结论:
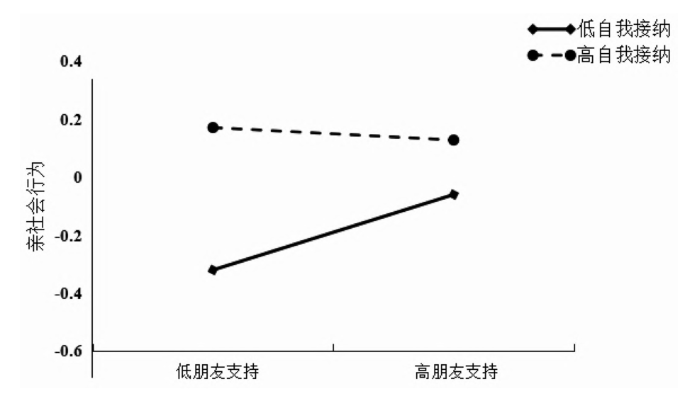
具体而言,自我接纳可以调节中介模型中友伴支持与亲社会行为之间的关系。

相较于自我接纳水平低的青少年,对于自我接纳水平高的人,当获得较好的友伴支持时,其能表现出更为显著的亲社会行为,继而提升其幸福感的水平。而自我接纳程度好的人,面对比较糟糕的社交境遇时,自我接纳可以作为调节因素,缓冲现实处境带来的焦虑和抑郁,降低其带来的负向影响。《听障青少年社会支持与主观幸福感的关系:有调节的中介作用》
如何通过自我接纳获得幸福感
- 用非批判的态度,多角度的了解自己。
- 改变不合理信念,提升自我认同感。
- 尝试自我觉察练习,或寻求专业帮助。